化学名称:四乙基氯化铵
CAS No.:56-34-8
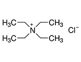
分 子 式:(C2H5)4N(Cl)
分 子 量:165.70
结 构 式:

四乙基氯化铵是一种有机化合物,化学式是C8H20ClN。是一种非选择性的钾通道阻滞剂,是有机阳离子转运蛋白的良好底物,并具有抗肿瘤特性。
熔点范围 | [°C] | 124 - 130 |
水份含量 (Karl Fischer) | [%] | 小于 1 |
游离胺 | [%] | 小于 0.5 |
外观 | 白色至淡黄色固体 |
体积密度 | 约1.08g/cm3 |
保存期限(密封干燥保存, 温度为 0-30℃) | 交货日起 12 个月 |
克制过氧亚硝酸盐诱导的大鼠主动脉环松弛
作为触角叶神经元中 K+ 电流和 Ca2+ 诱导的 K+ 电流的药理学阻断剂
在用蛋白水解酶消化的耳蜗内毛细胞中诱导 TEAC 敏感电流并分析其性质
聚合反应用相转移催化剂。
膜运载研究用电解质。
检验锑和铋,测定金。
极谱分析。
RT-PO CAS :75980-60-8是一种高效的裂解型自由基星空彩票幸运彩版......
星空游戏官方地址 CAS :554-95-0是一种重要的化工原料......
羟烷基酰胺-552 CAS :6334-25-4是一种用于热塑性固体粉体涂料的交联固化剂......